√完了しました! ¦V XC[c Vs lC 171037
Part G The Phasor Method For Analyzing Oscillations Is Useful In Many Areas Of Physics A Homeworklib
¦"V XC[c Vs lC
¦"V XC[c Vs lC-


Search Algorithm For A Mixed Csp With Interval Splitting On Backtracking Download Scientific Diagram


Solved The Resistor R Inductor L And Capacitor C Are Con Chegg Com


Graph Shows Variation Of Source Emf V And Current I In A Series Rlc Circuit With


3 A Particle Of Mass M Moves In One Dimension And Has Position R T At Time T The Particle Has Homeworklib


Online Homework 11 Solution


Derivation Of The Lorentz Transform


Roman Numerals List


Evaluation Of Flow Modulation Approaches In Ventricular Assist Devices Using An In Vitro Endothelial Cell Culture Model The Journal Of Heart And Lung Transplantation X Mol


Eu Court Of Justice Ecj Eulaw Permits A Measure That Deprives A Person Of His Liberty On The Basis Of A Prior Offence Different From The One Used For His


The Exod Search For Faint Transients In Xmm Newton Observations Method And Discovery Of Four Extragalactic Type I X Ray Bursters Astronomy Astrophysics A A


Vc C Ccx Cv Cv C Cxxcxxxgxx V Cx C C Cc Vx C C Cv C C C C C C C Youtube


Szfjs4hknqtsmm


Search Algorithm For A Mixed Csp With Interval Splitting On Backtracking Download Scientific Diagram


Roman Numerals System Of Numbers Symbol Of Roman Numerals Numbers


Roman Numerals Wikipedia


Canadian Transportation Distribution Management Tfter A R A Classification Size Ofjournal Dimensions In Inches A B C D Q H L M N Q R A 3 X 7 5 63l 3i I


Create User Defined Environment Variables Macros Pinyotae


Mikefc After Watching The Queen S Gambit This Week I M Posting Some Rstats Chess Things This Is Recursive Code To Solve The 8 Queens Problem In 1 Long Form 2


Ordering Codes


Jetbest Max 500ml Ink Bottle For Roland Eco Sol Max Printer Vp Sp Premiercolour


Roman Numerals Chart Translation Tips History


Format Command Examples Options Switches And More


Solved For The Circuit Of Fig P2 Let Vs 60 Cos 0 10 Chegg Com


Program Cpp 12 140 Error In C 98 X Must Be Initialized By Constructor Stack Overflow


Ic Xc High Resolution Stock Photography And Images Alamy


Epidemiological And Clinical Characteristics Of 99 Cases Of 19 Novel Coronavirus Pneumonia In Wuhan China A Descriptive Study The Lancet


Logic Without Metaphysics Springerlink


Kashubian Alphabet Wikipedia


How Important Is Crispr Cas For Protecting Natural Populations Of Bacteria Against Infections By Mobile Genetic Elements Biorxiv


Pdf A Self Tuned Class E Power Oscillator


Ogden S Lemma Archives Just Chillin


Innexin An Overview Sciencedirect Topics


Publications Rossini Group Iowa State University


The Virginia Magazine Of History And Biography N P 5 Z 2 2 5 Cd On S3 H I Cd 2 2 W Cd P X I 3 1


Solved Figure 26 27 Gives The Electric Potential


How To Write A Melody In C Major Arxiusarquitectura


Why Printing Array Of String In C Not Providing Same Output Stack Overflow


Solved Problem 6 Assume That V 15 L50 Determine The Chegg Com


In An L R C Series Circuit The Source Has A Voltage Amplitude Of 1 V Math R 80 0 Omega Math And The Reactance Of The Capacitor Is Math 480 Omega Math The Voltage Amplitude Across The Capacitor Is


Cattleya Labiata V Coerulea X Lc Mini Purple V Coerulea Orchid Dynasty


Using First Order Predicate Logic Ppt Download


Review Technics Sl C 700 Cd Player


Mcr Sl Cuc Yyy Yyy Datasheet By Phoenix Contact Digi Key Electronics


In A Series Resonant R L C Circuit The Voltage Across R Is 100 V And The Value


Solved 1 Write Schrodinger S Equation If V X Ax Y2 2 Chegg Com


Part 2 Math


Solved 1 Draw The Tree Diagram For The Chainrule And Wr Chegg Com


C Code Roman To Integer Dev Community


A Fixed Point Policy Iteration Type Algorithm For Symmetric Nonzero Sum Stochastic Impulse Control Games Springerlink


Two Electron Oxygen Reduction On Fullerene C 60 Carbon Nanotubes Covalent Hybrid As A Metal Free Electrocatalyst Scientific Reports


Part G The Phasor Method For Analyzing Oscillations Is Useful In Many Areas Of Physics A Homeworklib


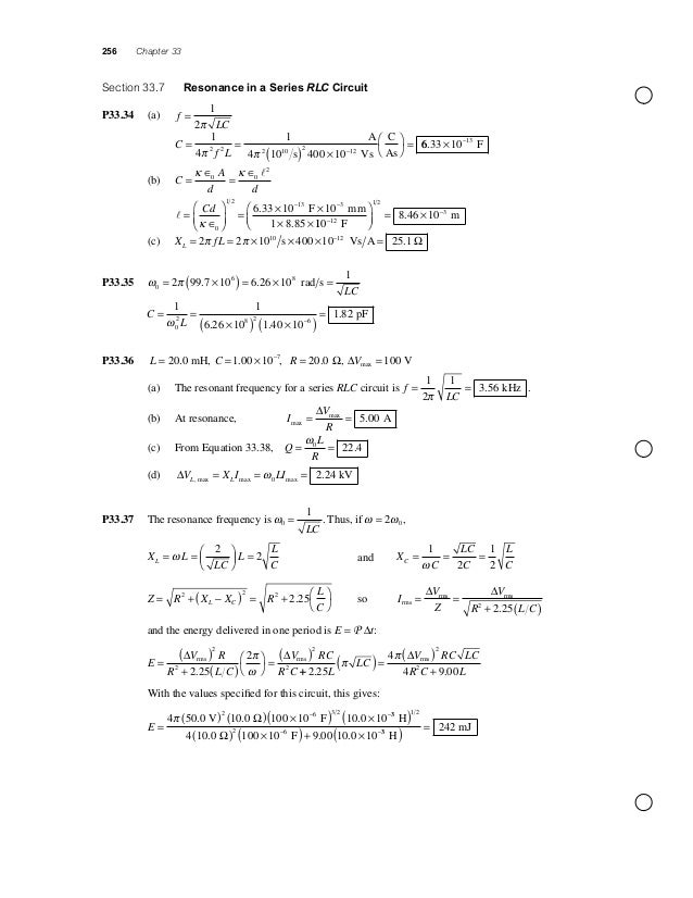
Sm Chapter33


Physical Interpretation Of Cyclic Voltammetry From Edlcs


Lg Tv Model Number Explained Led Nanocell Oled 11 21 Tab Tv


An Integrated Model For Fire Sales And Default Contagion Springerlink


Amazon Com Multi Collagen Pills Type I Ii Iii V X Hydrolyzed Collagen Peptides With Hyaluronic Acid Vitamin C Contains 5 Types Of Food Based Collagen Non Gmo Verified 90


In A Simple Ac Circuit Shown On The Right Clutch Prep


I1m6pasc3b3prm


Membranes Free Full Text Quantitative Evaluations Of Hydrogen Diffusivity In V X X Cr Al Pd Alloy Membranes Based On Hydrogen Chemical Potential Html


Using Convolutions S3 Vs Distributions S4 R Bloggers


Kinetic Analysis And Alloy Designs For Metal Metal Fluorides Toward High Rate Capability For All Solid State Fluoride Ion Batteries Journal Of Materials Chemistry A Rsc Publishing


Solved Hz At Series Z R Resonance Xc X Phase 0 0 Lc F Chegg Com


Solved Given Is The Electric Potential V X Y Cxy2 Wit Chegg Com


How To Teach Blending Sounds To Read Words Reading Simplified


Solved Assignment On Function Roman Numbers Write A Compl Chegg Com


Nanochannel Controlled Synthesis Of Ultrahigh Nitrogen Doping Efficiency On Mesoporous Fe N C Catalysts For Oxygen Reduction Reaction Nanoscale Research Letters Full Text


Ap Chemistry Chapter 6 And 7 Jeopardy Ppt Video Online Download


The Difference Between Cream Cc Cream And Foundation


Solved Let U Q R S T U V W X Y Z A Q S U W Chegg Com


Xbox Series X Vs Xbox Series S What S The Difference Pcmag


Amazon Com Sebo X C 370 Upright Vacuum Cleaner Bags Part 5093am Household Vacuum Bags Upright


Ppt V V O At Powerpoint Presentation Free Download Id 458


Xbox Series X Vs Xbox Series S What S The Difference Pcmag


Introduction To Special Relativity Resnick Robert


Math For Liberal Arts Roman Vs Hindu Arabic Numerals Fractions Vs Decimals


Idx Technology C Xtap 2 7 4v Dc Cable With X Tap For Sl Pro Series Batteries Full Compass Systems


コメント
コメントを投稿