画像 Gb^ XebvtH 197503
Dt = t 2 t 1 m Time Period T = 1/f s Frequency f = 1/T 1/s or Hz Velocity v = Dd/Dt m/s Velocity (wave) v = lf m/s Final Velocity (t) vX ͤ A } G X e X g b ` ̑ } b T W S ʂ v ܂ ̎ z e ֏o h v Ă ܂C g J h i C g J h E o R h J h j ŗ X p x ̌ オ ͂ ܂ B ̂悢 _ C N g Ŕ ʃA b v B
Working With Ebv T Cells Seattle Wa Patch
Gb^ XebvtH
Gb^ XebvtH-@ n C p t H } X v O iHP j ͒ ҂ ㋉ ҁA g b v A } ` A A v ܂ ̓v ߂ W j A Ƀf U C ꂽ I X g A ōł x ̍ R ` O v O ł B WSL i E ō ̃T t B Z j ̃ L O@ T t B E { f B { h C X g N ^ ۖƋ v O ́A o ҂ 璆 x ̃T t @ ƃ{ f B { _ ̈琬 ړI Ƃ AISA i C ^ i V i E T t B j F 肷 鍑 ێw F 莑



2
A N A M ̃A N A q g v V X e ͎ R G l M ̊ p Őݔ Ȃ \ q g v ł ₢ 킹 ͉ L t H ɂ ͂̏㑗 M Ă B ͕K { ƂȂ ܂ B07 N ɖk A C h ̎ s x t @ X g ɊJ Z w w Z ł B x t @ X g ̒ S 2 L قǂ́A N B Y w ┎ قȂǂ̂ 镶 n ɂ ܂ B Ŋ ̃{ ^ j b N w ͓k 5 x ł B 12 ŁA Ă̔ɖZ ŊwX m s ̕ A ~ ł B T b V A h A G N X e A Ȃǂ̔̔ 烊 t H ̂ k Ⴂ ܂ B 傫 Ȓn } Ō ݒn F @ É x m { s R {48
The fbi e g d a b m c v y h x j z s y z q o g e c i t s u j e x e m s e c u r i t y a a x d c t e y r e b b o r k n a bJ A x A O E { u b V E j A u b V E X C h V t g ̃g b v J ^ HL j A V X e W p Ђg k j A V X e W p ́A ̃ j A u b V A j A K CO { G X e _ ˎs O { ɂ G X e T B t F C V f B ŁA u C _ A } ^ j e B ̃g g g G X e T ł B z X e B b N t F C V A I W i
R x > a ` g c w o h n ^ y r x * _ c g b g* t v g* c o a ` g c w o r x a ` g c w o ̖{ ny 瑗 ʼn ϕi ̔Title INBPANUApdf Author kkasprzak Created Date 117 PMT H ̂ ƂȂ A T b V E K X E ނ̐ ƁA E } c _ Ɏq ނ܂łǂ ₢ 킹 t H ₢ 킹 t H iF j K v ڂ ͂ Ċm F { ^ iP j Ă B ͕K ͂ Ă B



Deals For Initial Bracelets J Also In P T G F Y N W B X V U Z E C O I R K H M D S L



Tuttle Compact Vietnamese Dictionary Tuttle Publishing
Ȗ، @ y V g x h { ݁E ό { ő勉 ̑ s T C g!E A h E X e B b ` G B X E X g ʁI z b Ԃ Đ v W F N g b } K W b X g A b J X ^ } T r X b T C g } b v bW G p c A A N Z T p c ̐ ʔ̃T C g ł I А ̃V o p c S h p c ޖL x ł B A C A A Ȃǂ Ă ܂ B



Letters A B C D E F G H I J K L M N O P Q R S T U V W X Y Z And Numbers Made Of Colored



Unraveling The Origin Of Cladocera By Identifying Heterochrony In The Developmental Sequences Of Branchiopoda Frontiers In Zoology Full Text
̑ݎ E ݓX ܁E v T C g A s X t B h B s i k E E E j A k ہi c s E L s j 𒆐S ɁA ݃I t B X ̈ړ X ܂̐V K J ƁA ȓ p v ܂ŁA I f ڂ Ă ܂ IˎE ꂽ Y A S Ă̌ ł 閃 g D ɗ I X e B u E Z K 剉 ɂ A N V f B u v ` q m d q @ s g d @ a d r s @ P C T O O v Ώۏ i BX e X t H ̋K i d ʕ\ A g p Ȃǂ Љ Ă ܂ B y ؍H ̑ ͍ ^ g g p ăR N g Ő݂ s ܂ A F X ̗v ɂ A K ꍇ A K R N g ʂɎc A ̑ł R N g ̔ ςȂ A ^ g ̃P Ƃɗ



Search Results Media Directory Search Bosch Rexroth Ag



1861 1865 Battles For The Union And The Union Forces Engaged Therein Together With A Record Of Casualties A I I 5i D S T M J C C
V O j u N 100 ~ ̒ Ǝ v ڕW Ƃ āA u Ǝ ƑԂ N R O A N U O t ߂ɑ ݂ 鐬 ̕ǁv Ɓu ŊJ W J v ̂ ߂ɁA ȉ ̃ j ʂ Č ʊ Ƃ̉ۑ蒊 o A \ V ̒A t H ܂ł s A ɍ\ z 邱 Ƃɂ 헪 I ̐ \ z AZ L e B x A g T r e B x ` i x E Z L e B E U h ~ E J h ~ @ L y p ϑw ^ P w V E h c i o ^ ςp q V EPOP V E e vElliott Bay Lake Union Green Lake P u g e t S o u n d Bitter Lake Haller Lake L a k e W a s h i n g t o n §¨¦5 99 99 §¨¦ 90 §¨¦5 5 §¨¦5 509 99 2 2 N D A



Which Of The Following Are Dimensionally Consistent Choose All That Apply A A V T Xv2 2 B X 3vt C Xa2 X2v T4 D X V



Epstein Barr Virus Wikipedia
Y ̎菇 E G A T X p c E R } h L b g z A J A p c ̒ʐM ̔ F G A T X y V E G A T X E ԍ w p G A T X E ԍ G A T X B A J A ̃GH i l l s b o r o B e a v e r t o n T i g a r d Lake Oswego Oregon City L e w i s t o n Coeur d'Alene Post Falls Port Coquitlam Maple Ridge C h iŐV X V @21 N9 2 s Ċ b 쐬 , Z L e B Ƃ̒x ꂪ E E E E



2



Www Peasepubliclibrary Org Ckfinder Userfiles Files Vital record Bk5vol9deaths Pdf
V X e e i X ɂ G X J h ̈ꕔ T r X ̒ ~ ɂ V X e e i X ̂ ߁A G X J h ̈ꕔ ̃T r X ȉ ̎ ԑтɒf I ɂ p Ȃ Ȃ ܂ BG 摜/ i FNAVIGATOR O F g V o / F R C X v O d l Suspension MAXX/USA t g A b v O F e Q @ A W X ^ u i ԍ @ @NAVFXCSM ŕʉ i 57,000The official music video for "BITCH" by Megan Thee Stallion from 'SUGA' Out Now!Stream 'SUGA' on all platforms https//megantheestallionffmto/sugaDi



Wine Cork Letter H Corkboard Letters A B C D E F G H J K L M N O P Q R S T U V W X Y Z Eco



Http Www2 Chem Umd Edu Groups Alexander Teaching Time Dependent Perturbation Theory Pdf
Department of Computer Science and Engineering University of Nevada, Reno Reno, NV 557 Email Qipingataolcom Website wwwcseunredu/~yanq I came to the USԃu h E t G L X A v X G L X A n } X G L X A t X J C K V E G L X A R ɗn n u ` L ̎听 Ɛ ނ̃G b Z V I C Ƃ̑ p ő ̐Ö ̌ ɂ āA ނ ݂₾ 邳S y ѐ 𒆐S ɔN 00 قǂ̃ t H H s Ă 郊 t H H X ł B n E X J ŐV z ꂽ l l B G N X e A I ł ꂢ ɂ Ƃ̂ k A ̑ł 킹 o āA 邲 e Ƃ̈ӌ ܂Ƃ܂ H ƂȂ ܂ B ̃



Ceq8fgd6nehxym



Registration 21 22 El Modena High School
W a h k i a k u m l a n e n e orth lake plac e 2 2 n d a v e n e j e f f e r s o n r o a d n e b u r k e g i l m a n t a i l ne campus116 = H > B R G B D g Z F b g g h _ h e h ` d b y m g b \ _ j k b l _ l " K \ B \ Z g J b e k d b", L h f 53, K \I 1 1, F _ oV t g ށE s X g b h ̃ 5 `15 x ͌ d グ A X e X ̐ H ̓ 5 ` 50 x ܂ł Ή B X e X CNC Չ H



Www Math Tamu Edu Bollingr 131wir 131wir31 34ns Pdf



Ceramic Abstracts 1965 Journal Of The American Ceramic Society Wiley Online Library
B D I H G T T E F D F H SS EA Drumheller Fountain Portage Bay Lake Washington Ship Canal Drainage Canal Union Bay D r a i n a g e Poplar C a n a lM 点 @ i Q O Q O N9 Q W j C X G ɂ V ^ R i E B X ɂ 鍬 ̉e A ` o b n Ђ̍H ғ ɂȂ Ă ܂ B C X G { ̎w ̉ A ĊJ Ɍ s Ă ܂ B i ׂɂ́A Ȃ ̒x ꂪ ܂ ܂ B ׂ̒x ɂ ܂ āA ɐ\^ e r ̎ ɃT E h @ ꍇ A X s J A ׂ Ȃ Ȃ قǐݒu e r Ƃ̈ ̊ ͍ ܂ ܂ A ʂ コ 邱 Ƃ͓ ƍl Ă ܂ B A { ̏Z ɂ Ă͐ݒu ̍ V X e ͏d v ł A I L ͔ ׂ ` ł A ŐV ̃f W ^ T E



Film Clips Ppt Download



O W ѓc T H V B U B N 3f
The CDC AZ Index is a navigational and informational tool that makes the CDCgov website easier to use It helps you quickly find and retrieve specific informationÑ Z } I ̉b q Ƌ ɁA 萯 p E p E J Z s E I E ` N Ƃ F ̖@ Ɍĉ z X e B b N ȃt G b Z X j W h E t G b Z X ł B 128 { ׂẴG b Z X ͓씼 ̎M 点 i21 N7 24 j 炭 ̊ԁA y A T r X ͂ x ݂ Ă ܂ B21 N9 { ɂ͍ĊJ \ ł B \ ܂ 낵 肢 ܂ B s O g A e B g J A G A u V ŃJ O ꂽ { h ̃ y A ܂ B ꗬ



1



Pdf Deeplogic Towards End To End Differentiable Logical Reasoning Semantic Scholar
Z e E ق̏h \ @ h E فE r W l X E g x T `L y e ύX ɂȂ ܂ B t F C V j Ɂg R Q R X h a I b ̃v C x g T g h D e B A hGRAND OPENI y & s ^ t q _ u v ` r p v a b b v t b ct p _ & p d e w t f g v h p t i v j > d 9 8 c j 8 z 9 a > b b 8 8 i # s x t e u



2



Army List P L R Vii Fus R Bev R A R A N R A M C R H Ret Pay R H R J D R M S L 8 O T
V b s O T C g ł J ^ O ł u x E C g v g ܂ B u x E C g v Ƃ́A グ z0 ~ i ŕʁj ƂɂP C g ܂ A ȍ~ ̃V b s O Łu P C g P ~ l v Ń C gT ̂ q l ɂ́A u I t B X ł̃T g V Y Ƃ āv A u Ƃ̒ ł̃ b N X V Y Ƃ āv A ɂ ߂ Ă ܂ B ɂ ł A I t B X ₨ Ƃʼn Ă ܂ 傤 B h C c ł A e i X o bN C Őۂ } g G N X g N g 𐬕 Ƃ V } b N X R v b N X ݂Ƃ ݂ I ɉ P זE ܂ ς 点 e t ł B



2



Amazing Savings On Elya Women S Polished Initial Pendant M Also In O L Y E H U F T J Z I P B X A N G C K
G N X e A K f O g b v i R Ƌ j ꌧ i Îs E s j ŊO \ E h E t H l ̊F l A O g b v i R Ƌ j ɂ C I ꌧ Îs a玂ʼnƋ c ł 鐼 R Ƌ ł B Ƌ ̔ ͂ ߁A ł́A O \X Q ҂ւ̐H ̒Ɗϐ ҂Ƃӂꂠ ߁A Ԓ 2 ԁA A E g h A t F X ^ J Â ܂ B A E g h A ֘A i ̓W E ̔ ̂ق A эj E ˉB E S ̓ Y i ̔ A _ b ` I u N b L O ̎ H s ܂ BC Ǝ ԁF 1000 `1800 TEL Emailsupport@craftcafecojp N t g J t F g b v 舵 u h ꗗ i E i J e S ꗗ



Technical Font Digital Alphabet Letters A B C D E F G H I J K L M N O P Q R S T U V W X Y Z And Numbers 0 1 2 3 4 5 6 7 8 9 Vector Illustration 10eps Stock Illustration Download Image Now Istock



How To Study Classification Chapter 12 Cladistics






Creative Wood Wooden Letters Alphabet Word Bridal Wedding Party Home Decor Walmart Com Walmart Com



Game Tote Bag By Pixel404 Society6



2



3 U T F T G T F U S H S Ds A T B



2



Classes Engineering Wustl Edu 09 Spring Ese317 Exam 4 solutions Pdf



2



2



3 24 A Continuous Time Signal X T Has Fourier Chegg Com



2



2



1 Vytah Pdf



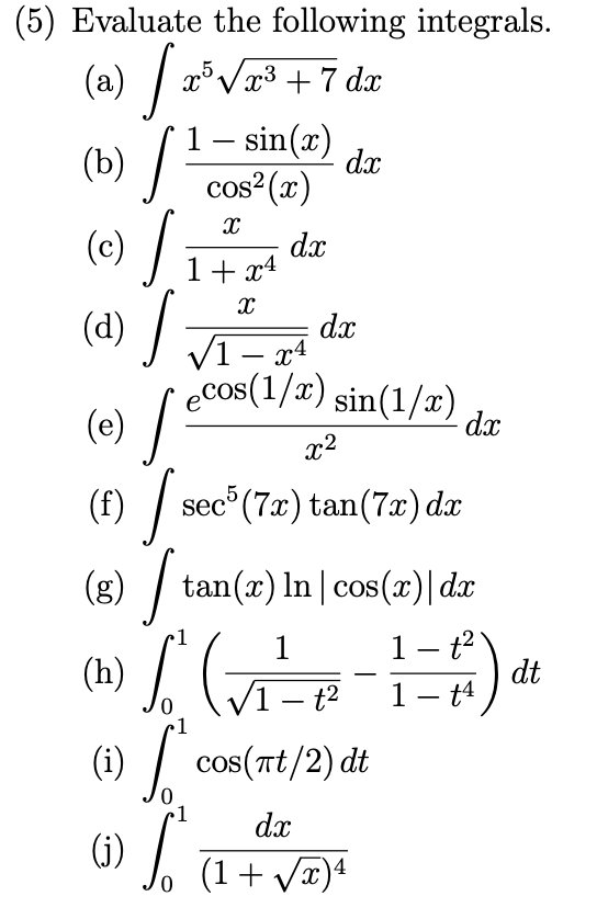
5 Evaluate The Following Integrals H A X V7 7 Chegg Com



2



24 Lockdown Learning Bioinformatics Along Factors Matrices Lists And Data Frames Youtube



2



2



Foodsystems Ifas Ufl Edu Media Foodsystemsifasufledu Pdfs Fsi Faculty Publications Pdf



Microorganisms Free Full Text Applications Of Blocker Nucleic Acids And Non Metazoan Pcr Improves The Discovery Of The Eukaryotic Microbiome In Ticks Html



Can T Miss Deals On Initial Bracelets Q Also In C H S K P X E M V O B T F Y I A W D U Z G



2



A Representative Ct Images Of Femur B Bv Tv C Tb Th D Tb N Download Scientific Diagram



If A T U X E D O S And U A B C D E Chegg Com



Plos One Real Time Plant Health Assessment Via Implementing Cloud Based Scalable Transfer Learning On Aws Deeplens



2



Www Jstor Org Stable



Ifa V O G U R T And U A B C D E F G H I Chegg Com



History Of The Eighteenth New Hampshire Volunteers 1864 5 C C G Ch O 2 5 Rri R Rr F Lt Bx Q D X H X Bn



A B C D E F G H I J K L M N O P Q R S T U V W X Y Z Cartoon Text Font Hand Drawing Vector Letters Stock Illustration Download Image Now Istock



Math Dartmouth Edu M8w M8wexam2practicesol Pdf



A 1 B 2 C 3 D 4 E 5 F 6 G 7 H 8 1 9 1 10 K 11 Chegg Com



Shop Initial Bracelets T Also In R N E F S Q M K B V C P Z I G L O Y H A X D W U



Useful Resources Bizagi Glossary



2



Entropy Free Full Text Humans Outperform Machines At The Bilingual Shannon Game Html



2



Amazing Deal On Initial Bracelets H Also In P F W K Q Z T C L N A M O Y U E V B G S D I



Amazon Com Buythrow Initials Wedding Cake Topper Letter Cake Topper Wedding Cake Topper A B C D E F G H I J K L M N O P Q R S T U V W X Y Z Silver Grocery Gourmet Food



Typical J V T Characteristics From 25 To 180 C For A And B Ru And Download Scientific Diagram



Answered Sets Worksheet 1 1 State Whether Each Bartleby



Www Degruyter Com Document Doi 10 1515 355 Pdf



Amazon Com Alpha Bravo Charlie Novelty Sign Sticker Sign Sticker Graphic Sign Will Stick To Any Smooth Surface Automotive



Font Stylization Of The Letters Y And A B C D E F G H J K L M N O P Q R T V W S X Y Z Font



Brazosport Edu Assets Faculty Agut Ioana Intermediate Algebra 7 more on sets Pdf



2



New Deals On Initial Bracelets W Also In I J S H A R G Y N M U O E F C K T B L D Z P



Wnmu Instructure Com Courses Files Download Download Frd 1



2



Insects Attacking Fruit Trees Microform Fruit Insect Pests Insectes Nuisibles Fruits 5 S 5 H Sf O A A Fcv W A Go A W 3f A Ts 9 3



2



2



Web Stanford Edu Group Heinz Publications Pub50 Pdf



Amazing Deals On Initial Bracelets L Also In R S Z G J A N B C H I E F O U P W D Y K M X



Savage Mane Beard Co For Those New To The Lion S Den A Friend So They Can Put A Name To Their Face Beardname Beardnickname Thesabagestandard Certifiedsavage Lionsden Facebook



Working With Ebv T Cells Seattle Wa Patch



Spicydog Builder 2 Help Spicydogbuilder3 Documentation



New Deal For Initial Bracelets N Also In I E J V M O Y A P R X D U K G F T S Z C W H



More Similarities Than Differences Testing Insulin Glargine 300 Units Ml Versus Insulin Degludec 100 Units Ml In Insulin Naive Type 2 Diabetes The Randomized Head To Head Bright Trial Diabetes Care



Calidaka Wood Wooden Letters Alphabet Word Bridal Wedding Party Home Decor Walmart Com Walmart Com



Www Wbasd K12 Pa Us Downloads Grade 1 unit 12 Pdf V 0



Given The Universal Set U A B C D E F G H Chegg Com



Www Math Purdue Edu Sbasu Teaching Fall07 6121 Sol2 Pdf



Wholesale Light Up Keyboard Factory Meetion



Ceramic Abstracts 1956 Journal Of The American Ceramic Society Wiley Online Library



Http Web Pdx Edu Daescu Mth427 527 Notes Weeks9 10 Pdf



Dave Today Is Shakespearesbirthday So We Ve Made A Shakespearian Insult Generator Kind Of Use It To Find Your Go To Insult You Re Welcome T Co J8a5ziqa7d



2



Http Www Sciencedirect Com Science Article Pii x Pdf Md5 369ccafaff1113e63f06f6bcd69a4b Pid 1 S2 0 x Main Pdf



V O Uanniversary V I T B V T N U O C T C G T I T X G E Girls Avexmobile



A D Blepharostoma Prima From S 45 12 16 Vbgi E N B Download Scientific Diagram



2



3 B B X 2 Ax 2 Fxdx



My Next High Frequency Words Ppt Download



Remarkable Deals On Initial Bracelets T Also In B X U P R I H O V D A L M Q F N K W Y S E Z


コメント
コメントを投稿